我國油田大都采用分層注水方式保持油層壓力,在開發過程中,需要及時了解掌握注水井各層的動態注入量,注入剖面測試技術即動態監測技術。隨著生產上的要求 ,在注水井注入剖面測試中新的監測技術不斷應用。
電磁流量測試技術以其測量精度高無污染,已在國內多個油田注入剖面測試中應用,在籠統注入井注入剖面測試中可取代傳統的同位素測試,取得了較好的應用效果。
電磁流量計的基本測量原理是電磁感應原理,當導電的注入流體流經測量探頭時,切割儀器產生的電磁場 ,在流體中就會產生一個感應電動勢,通過測量這個由流體切割磁力線的快慢(即流體流動速度)產生的變化電壓信號,來測量流體流速的大小,進而根據標定數據確定出流量。
從測量原理來看,影響注入流體流速的因素將對測量結果產生較大影響,而當全井注入量一定時,影響注入流體流速的因素主要是測其通道過流面積的變化。油田注入剖面測試中使用的電磁流量計,在室內標定中使用的是標準的套管尺寸或油管尺寸,而實際測量時由于長期注水和井下原因引起套管變形、結垢、腐蝕等情況 ,使實際的測量通道與標定環境有一定差異,因此引起測量結果誤差。
1、井徑對測量結果的影響分析
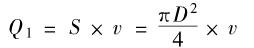
設實際流量為 O ,測量流量為 O1,標定時測量通道直徑為D,截面積為 S ,實際測量通道直徑為 D1,截面積為 S1 ,流速為 "。當流量計測出流量頻率值后,根據標定圖版可換算為流量,此時計算采用的是標準過流通道內徑,瞬時測量流量應為:

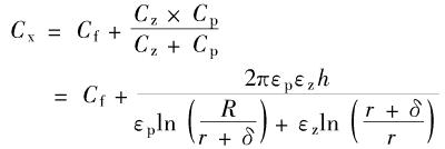
當過流通道變化時,此時流速為:
則
可見 ,測量流量與實際流量有一個系數差,這個系數與測量通道管徑變化的平方成正比,是一個指數關系,當D 與D1 相差不大時, Q1 與 Q 相比誤差不大,而當D1與D相差較大時, Q1就超出了允許的誤差范圍,由上式可見,當實際管道直徑變化量達 5% 時 ,流量就有超出 10% 的誤差。而在實際的電磁流量計測量和解釋時均未考慮到管徑尺寸差異引起的計量誤差。這在內流式和外流式電磁流量測量方式上均有影響。為了提高測試精度 ,消除此項誤差,就必須對管徑變化的影響進行校正。
在工程測井技術中, 井徑儀用來測量井下套管的變形情況,確定套管內徑,其工作原理就是把套管直徑方向的尺寸變化轉化為電阻阻值的變化,其轉化過程是通過一套機械傳動結構來實現的。因此,可將和井徑儀引入電磁流量計章面測試中,與電磁流量計組合,利用測得的井徑數據修正測量與標定通道差異引起的解釋誤差。然而,一般井徑儀由于測量原理的限制外徑較大,不能通過油管測量。為此,設計了一種小型井徑儀,同時可作電磁流量計的一個扶正器使用。
2.1 井徑儀的選擇
并徑儀選擇基于以下假設:影響電磁流量測量誤差的套管或油管的變形是連續的,因此,其變形形狀可用橢圓模擬。這樣,在井徑測量上采用 4 臂井徑即可。
實際上,只要知道測量時通道的面積,不必知道通道的詳細形狀就能得到較好的校正效果,因此,4 臂井徑足夠使用。
為了實現過油管測量,縮短儀器長度,在設計上可將電磁流量計的一個扶正器設計為井徑測量儀,其 4條扶正片作為4個測量臂。
2.2 并徑儀原理
4個測量臂分為2組,每組測量一個方向,基本結構如圖1所示。


圖1 四臂井徑結構圖
其中上、下接頭與儀器外殼相連,上、下滑套可分別在上下接頭上滑動,測量臂的兩端就分別裝在滑套和接頭上,使之受壓變形后只有一端能動。與滑套相連的是上,下測量桿,二者通過上、下銷村定在一起。當井徑變化引起測量臂壓縮時, 相應的上或下滑套隨之動作,帶動其上的測量桿作軸向運動 ,井徑的變化就轉化為測量桿的位移。由檢測電路檢測這位移 ,就可得到井徑的變化。
2.3 井徑探頭測量原理
井徑探頭結構示意圖如圖2 所示。
其測量原理是電容法,即將井徑的變化轉變為電容的變化,其中上、`下測量桿與儀器外殼聯通作為一個電極,黃銅作的探頭外數一層聚氟乙烯絕緣層后作為另一個電極,二者組成一個容量可以變化的電容器傳感器。

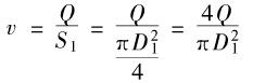
井徑測量探頭等效電路如圖 3 所示,測量探頭實際上由三部分組成,一是分布電容 Cf 二是電極絕緣層電容 Cp, 電極棒和測量桿外亮之間的電容 Cz, 稱被測電容。當傳感器幾何尺才已定,則 Cf和 Cp 為固定值,測量探頭傳感器的容量變化決定于測量介質和兩個電極的相對位置 ,一般對于注水井來說,注入流體是一定的,因此,測量探頭傳感器的容量變化就只決定于2個電極的相對位置變化。當測量桿隨測量臂發生位移后,引起電容的容量變化,這個變化就表征了井徑的改變。
測量電路記錄到這個電容變化后就可以換算為井徑的大小,利用解釋軟件計算并模擬出測量段套管或油管內徑變化,并用橢圓面積計算公式 A=兀xaxb計算出當前面積(a、b分別為井徑的2個測量臂測出的尺寸) ,為流量解釋提供校正因子。為了能夠在正常注水情況下測試,井徑儀外徑設計為 Φ38 mm, 可以通過油管下入 ,測量范圍覆蓋油管和套管內徑。
2.4 相關計算
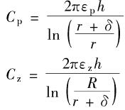
電容中心電極半徑為r,內電極絕緣層厚度為 ∂,絕緣材料介電常數為 ep,傳感器外電極內表面半徑為R,電極長度為 六,se; 為注入水介電常數,根據同軸柱狀電容器容量計算公式,可得絕緣層和被測介質的電容 Cp、Cz, 為:
傳感器電容 Cx 為:
設計取R=3 mm,r = 2 mm,絕緣材料選用聚四氟乙稀(Ep= 2.0)、厚度 ∂ = 0.2 mm,取水的介電常數 Ez,= 80。則測量桿每移動 1 mm 并徑探頭產生的電容變化約為1.1 PF ,電路設計具有 0.1 PF 的分辯率,因此,是可以滿足使用要求的。
傳感器電容變化量及流量變化量與井徑關系如圖4所示。
3、 注意事項
(1)為了不對現有電磁流量計改動,井徑儀設計為過線形式,安裝于電磁流量計上方。
(3)井徑測量臂應采用高硬度彈策鋼制成。
(4)在實際測試中起下儀器的速度應控制。
4、 結束語
電磁流量計測量精度高,有較好的應用效果。但實際測量通道與標定環境有一定差異,引起測量結果誤差。
將井徑測量引入電磁流量計剖面測試中,可有效校正因測量通道發生變化引起的測量誤差。設計的井徑儀采用了新穎的電容法測量原理,有效地減小了尺寸 。
受外徑限制,井徑儀設計為四臂獨立 ,測量臂采用扶正片形式,由連桿帶動測量臂移動,由測量探頭電容的大小變化得出測量臂的位移大小,進而確定該扶正片對應套管尺寸的變化。井徑與電磁流量計的一體化設計,使井徑儀即可測量通道井徑的變化,又能作為電磁流量計的一個扶正器使用,在基本保持儀器長度的前提下為流量解釋多提供了一個測量參數。
上一條:
電磁流量計工作原理及現場安裝示意圖
下一條:
新型分體式電磁流量計接線盒構造優勢